doxycycline for cats dosage chart

Dosage of Doxycycline for Dogs. A typical dosage of doxycycline for dogs is 14 23 mglb every 12 hours for 7 to 14 days.


Feline Atypical Mycobacterial Panniculitis Treatment Monitoring And Prognosis

The main side effect of doxycycline in cats is gastrointestinal upset so giving them Doxycycline with food should help to reduce this risk.

. Easy Refills with Autoship. Drew suggests a higher dosage of 23-45 mglb every 12 to 24 hours for 10 or more days. Antibacterial treatment for ehrlichiosis lasts up to a month even if the symptoms of the disease are no longer observed.

The recommended dosage for a cat weighing 1 pound is 5 milligrams per pound of body weight twice a day. Doxycycline Dosage for Dogs. 0 5 c c l b S I D x 1 0 da y s 4.

Dosing Information of Doxycycline for Dogs and Cats. For you to know there is another 33. The safe Miralax for cats dosage is ⅛ to ¼ teaspoon in wet feline food 2 times a day.

The exact dose and. The typical rule of thumb is 2 milligrams of doxycycline per pound of body weight. Doxycycline was given orally in the form of palatable tablets of Ronaxan.

Doxycycline for dogs dosage chart. In severe constipation the Miralax powder dose can be increased to 12 tsp. 44 mgkg orally on the first day given in 2 divided doses.

Drew recommends a higher dosage of 23 45 mglb every 12 to 24 hours for 10 or more. Doxycycline for dogs dosage chart Doxycycline is used for treatment of. Doxycycline Suspension 1 0 0 m g m L M i l d U R I B a y tr i l a bs c e s s e s ti c k bo r n e i l l n e s s e s 0.

Doxycycline is available as 100 mg tablets 10 mgml oral liquid suspension and as a solution for injection. A common dosage of doxycycline for dogs is 14-23 mglb every 12 hours for 7 to 14 days. For general infections doxycycline is given 3-5 mgkg orally every.

While the Merck Veterinary Manual recommends an oral dosage of 5-10 mgkg per. 22 mgkg orally once a day or 11 mgkg orally twice a day. The recommended Doxycycline dose for dogs is between 22 and 45 mg per pound of body weight 5 to 10 mg per kg.

5 m g m L s o f t- ti s s u. 5 m g l b Clavamox 6 2. Side Effects Of Doxycycline For Cats.

At least 45 kg. Like other antibiotics for dogs. Cats may be at increased risk for esophageal strictures after dry pilling with.

Drew suggests a higher. Doxycycline is dosed once or twice daily in cats at 5-10mg per kilogram of body weight or 5-10mg for every 22 pounds. Tablets of 100 mg of doxycycline as hyclate were used in dogs whereas cats were given tablets of.

Dosing of doxycycline for dogs is different depending on the infection. The most-common side effects in dogs and cats are GI upset including nausea and vomiting. The dosage of doxycycline the vet prescribes your cat will depend on your cats weight and age.

Miralax For Cats Dosage. For example if your cat weighs 2 pounds he should receive 10 milligrams twice a. Doxycycline Dosage for Cats.

When you want it. The dosage of doxycycline for dogs will vary depending on your dogs health and condition.


Doxycycline In Cats Antimicrobials


Pharmacokinetics And Adverse Effects Of Doxycycline In The Treatment Of Ehrlichiosis Theoretical Foundations For Clinical Trials In Canines


Amoxicillin For Cats How It Works Dosage And Side Effects


Doxycycline For Cats Relievet


Doxycycline Hyclate Modulates Antioxidant Defenses Matrix Metalloproteinases And Cox 2 Activity Accelerating Skin Wound Healing By Secondary Intention In Rats


Clavamox Chewable Tablets Heartland Vet Supply


Frontiers Role Of Integrin Avb3 In Doxycycline Induced Anti Proliferation In Breast Cancer Cells


Efficacy And Side Effects Of Doxycycline Versus Minocycline In The Three Dose Melarsomine Canine Adulticidal Heartworm Treatment Protocol Parasites Vectors Full Text


Haemoplasmosis In Cats


The Efficacy Of A Generic Doxycycline Tablet In The Treatment Of Canine Monocytic Ehrlichiosis


Grapiprant For Control Of Osteoarthritis Pain In Dogs


Rat Medicine Dosage Charts Rat Trixs Do More With Your Rats


Rat Medicine Dosage Charts Rat Trixs Do More With Your Rats


In An Anthrax Emergency How To Prepare Doxycycline Hyclate For Children Adults Who Cannot Swallow Pills Cdc


Modulation Of Melanogenesis And Antioxidant Status Of Melanocytes In Response To Phototoxic Action Of Doxycycline Rok 2015 Photochemistry And Photobiology Wiley Online Library


Dog And Cat Bites Louisville Lectures


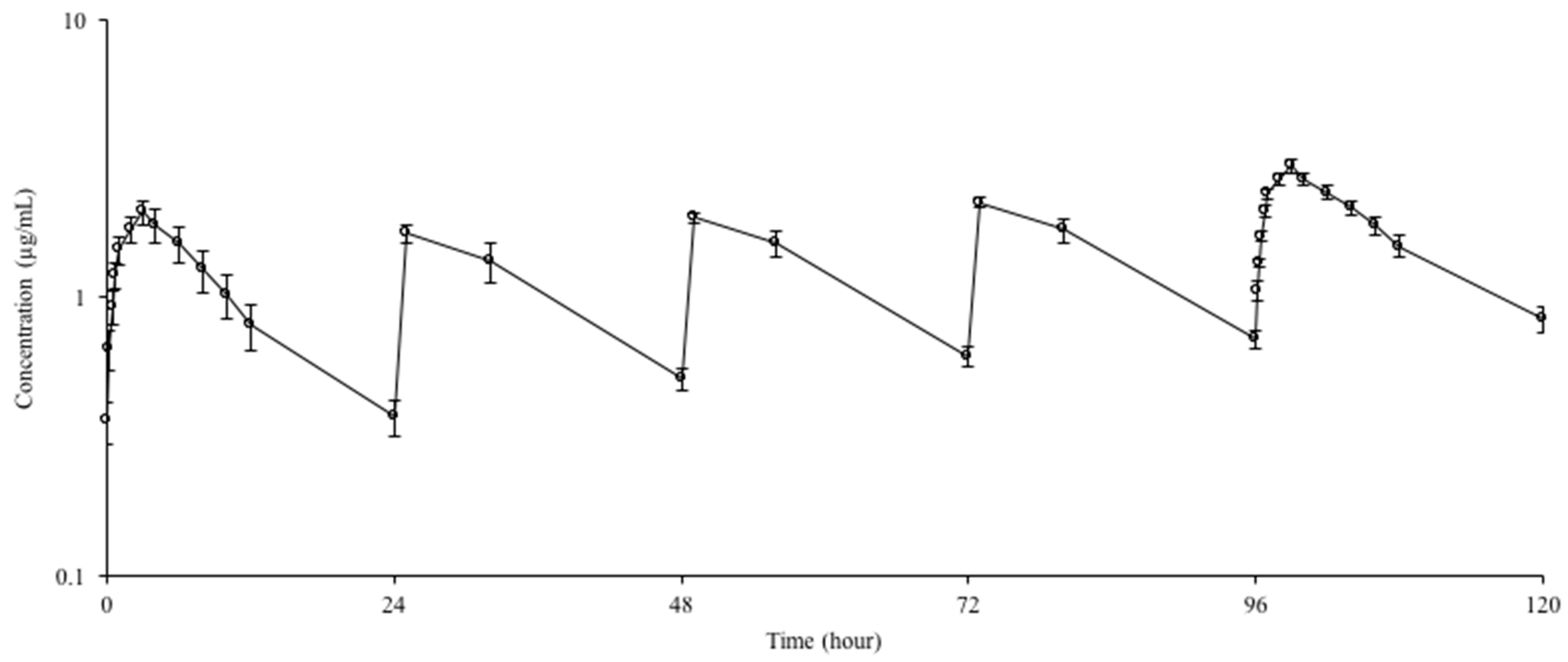
Animals Free Full Text Effects Of Single And Repeated Doses On Disposition And Kinetics Of Doxycycline Hyclate In Goats Html


Doxycycline Dosage For Staph Infection Buy Doxycycline Online Is A Zpak Or Doxycycline Better Doxycycline Hyclate Staphylococcus Does Doxycycline Contain Ppt Download


Doxycycline For Cats Dosage Safety Side Effects All About Cats

Iklan Atas Artikel

Iklan Tengah Artikel 1

Iklan Tengah Artikel 2

Iklan Bawah Artikel